ЭНЕРГАЗ: опыт подготовки и компримирования низконапорного ПНГ
НИЗКОНАПОРНЫЙ ГАЗ
Понятие «низконапорный газ» (ННГ) трактуется по-разному. Газовики рассматривают ННГ как природный газ на устье добывающей газовой скважины – с низким уровнем давления, недостаточным для подачи газа на компрессорную станцию или установку подготовки газа.
Нефтяники понимают под низконапорным газом попутный нефтяной газ (ПНГ) с концевых ступеней сепарации нефти, не обладающий уровнем давления, необходимым для его транспортировки от установки подготовки нефти (УПН) до газоперерабатывающего завода или автономного энергоцентра месторождения.
Например, у газа концевой ступени УПН Варандейского месторождения давление практически отсутствует, и транспортировку ПНГ здесь обеспечивает компрессорная станция низкого давления «ЭНЕРГАЗ».
 НН ПНГ/845-1.jpg)
Понятие ННГ не сводится только к уровню давления газа – как важному фактору добычи. Эксперты предлагают и иные варианты определений ННГ. Так, к низконапорным промысловым газам относят запасы газовых и газоконденсатных месторождений, промышленное использование которых при глубоком компримировании и магистральном транспорте становится экономически нерентабельно.
Более емким видится определение, привязанное одновременно к экономическому и к техническому аспектам. Низконапорный газ – это газ, присутствующий в технологических схемах разработки, добычи и переработки продукции месторождений, вовлечение которого в промышленный оборот достигается решением специальных технических задач и дополнительными затратами.
ПРОБЛЕМА ОБОЗНАЧЕНА
Проблема добычи и использования ННГ состоит в следующем. Давление газа в пласте снижается по мере его выработки. И возникает момент, когда давления газа, поступающего из скважин, недостаточно для его подачи в газопроводы без проведения подготовительных мероприятий. Из-за весомых затрат дальнейшее использование ННГ становится нерентабельным по совокупной цене добычи, газоподготовки и доставки к конечному потребителю. При этом в категорию «низконапорного» попадает 15-20% запасов природного газа, доступного к добыче.
По мере истощения крупных месторождений важность задачи эффективного использования ННГ значительно возрастает. По экспертным данным, объем ННГ на выработанных газовых месторождениях только в Западной Сибири исчисляется триллионами кубометров. По разрабатываемым месторождениям Ямало-Ненецкого АО объемы ННГ превышают 2 трлн м3, а в целом по автономному округу – составляют более 5 трлн м3.
Аналогичная ситуация возникает с попутным нефтяным газом, когда при дегазации и сепарировании нефти в эту категорию попадают значительные объемы ПНГ - ценного углеводородного сырья. К примеру, если в 2007 году на Вынгапуровском месторождении остаток низконапорного попутного газа (НН ПНГ) оценивался в объеме 90 млрд м3, то на Медвежьем (на фото ниже) к 2020 году прогнозируется 310 млрд м3. Проблема станет повсеместной уже к 2025 году.
Ситуацию обостряет увеличение доли так называемого «жирного» газа в общем объеме добычи. За метановым «сухим» газом пока сохраняется преимущество, так как для его использования не требуются специальные системы по выделению этан-, пропан-, бутановых и более тяжелых фракций. По этой причине вопрос дальнейшего использования тяжелых компонентов ПНГ остро не стоит. Но уже к 2030 году около половины добываемого газа будет «жирным». Переориентация на добычу «жирного» газа выдвигает новый приоритет – переоснащение промыслов для подготовки к транспортировке и переработке газового конденсата - важного сырья для газохимии.
Но эта проблема требует отдельного рассмотрения. Мы же вернемся к теме НН ПНГ.
ИСПОЛЬЗОВАТЬ МАКСИМАЛЬНО
Процесс разгазирования нефти может начинаться уже в насосно-компрессорных трубах нефтяных скважин. При движении продукции из скважин по нефтегазопроводам также происходит выделение ПНГ. В итоге, поток пластовой нефти переходит из однофазного состояния в двухфазное – разгазированная нефть и попутный нефтяной газ. Это происходит по причине падения давления и изменения температуры пластовой жидкости.
Однако совместное хранение или транспортировка нефти и ПНГ экономически нецелесообразны. Объём выделяемого газа в несколько раз превышает объём жидкости. Совместная обработка нефти и ПНГ потребовала бы использования емкостного оборудования и трубопроводов значительно больших размеров. Поэтому на объектах добычи и подготовки нефтегазовый поток разделяют на два – нефтяной и газовый. Разделение потока происходит в специальных аппаратах – сепараторах, где создаются условия для максимально эффективного выделения ПНГ из нефти.
Выделяемый газ нуждается в подготовке на специальном технологическом оборудовании. Подготовка ПНГ – это комплекс мероприятий: осушка, удаление механических примесей, сероочистка, отбензинивание (извлечение жидких углеводородов С3+выше), удаление негорючих компонентов газа (азот, двуокись углерода), охлаждение, компримирование.
Предварительно подготовленный ПНГ обычно распределяется следующим образом. Часть идёт на нужды промысла – подается на подогреватели нефти, применяется в качестве топлива для газопоршневых или газотурбинных электростанций (на фото ниже), котельных. Часть транспортируется потребителям, к примеру, на газоперерабатывающий завод для получения продуктов газохимии (если ГПЗ находится в районе добычи нефти). Используется ПНГ и для обратной закачки в пласт для повышения нефтеотдачи (система «газлифт»).
Еще вчера эта схема сводилась к использованию ПНГ 1-й ступени сепарации. ПНГ 2-й и последующих ступеней, как правило, сжигался на факелах, так как газ с последних ступеней более сложен в подготовке.
Такой ПНГ по плотности и содержанию компонентов С3+выше значительно «тяжелее» газа 1-й ступени. Например, плотность газа 2-й ступени может превышать 1700 г/м3, а содержание С3+выше – 1000 г/м3. Соответственно, количество выпадающего конденсата в газопроводах ПНГ 2-й и последующих ступеней гораздо больше, чем те же показатели в газопроводах ПНГ 1-й ступени сепарации. Газ концевых ступеней отличается высоким содержанием механических примесей и капельной влаги. И, ко всему прочему, его надо компримировать.
Таким образом, рациональное использование ПНГ последних ступеней сепарации требует дополнительной инфраструктуры для сбора и подготовки, что повышает себестоимость газа и снижает рентабельность. Поэтому ряд компаний не шли на эти затраты и вынужденно самоустранялись от утилизации НН ПНГ.
Ситуация изменилась после января 2009 года, когда правительство ввело жесткий норматив, согласно которому утилизации должно подвергаться 95% всего ПНГ. Вопрос о том, сжигать или не сжигать попутный газ на факелах, решен в России окончательно и бесповоротно. Сжигать ПНГ стало накладно. И срабатывают не только экономические санкции (таблица 1). Ценится и экологическая репутация нефтяных компаний.
Таблица 1. Повышающие коэффициенты к плате за сверхнормативное сжигание ПНГ
|
Год |
2012 |
2013 |
2014 |
2020 |
|
Повышающий коэффициент |
4,5 |
12 |
25 |
100 |
При снижении добычи нефти результативное использование ПНГ приобретает особый вес. Учитывая, что НН ПНГ занимает значительную долю в потерях попутного газа, нефтегазодобывающие компании внедряют современные технологии его утилизации. Многие уже убедились в верности своего стратегического выбора.
ЭФФЕКТИВНОСТЬ ОБЕСПЕЧИТ ЭНЕРГАЗ
Итак, ПНГ со 2-й и последующих ступеней сепарации нефти является низконапорным. Его собственное давление не превышает 0,4-0,5 МПа (изб.) и не позволяет транспортировать ПНГ между объектами нефтегазодобывающего комплекса или подавать его в трубопровод до головной компрессорной станции, направляющей газ стороннему потребителю.
В этой ситуации технологическая задача компримирования НН ПНГ решается комплексно. Месторождения оснащаются так называемыми «малыми» компрессорными станциями (КС) или компрессорными станциями низких ступеней сепарации (СКНС), основу которых составляют компрессорные установки (КУ) низкого давления. Когда же давление газа близко к вакууму (от -0,05 до 0,01 МПа изб.), на КС и СКНС применяются вакуумные компрессорные установки.
Надежная работа КУ обеспечивается специальными инженерными решениями с учетом состава и качества газа, условий эксплуатации и индивидуальных проектных требований. Начиная с 2007 года, такой опыт накоплен в Группе ЭНЕРГАЗ, специализирующейся на технологических проектах комплексной газоподготовки. Инженеры ЭНЕРГАЗа тщательно учитывают все особенности компримирования НН ПНГ, используя, как правило, установки на базе винтовых маслозаполненных компрессоров.
ИНЖЕНЕРНЫЕ РЕШЕНИЯ
Назовем основные факторы, осложняющие процесс компримирования низконапорного ПНГ, и рассмотрим решения этих проблем.
Необходимость доочистки. Несмотря на то, что в компрессорную установку поступает уже подготовленный газ, содержание в нем механических примесей и капельной влаги не соответствует условиям нормальной эксплуатации высокоэффективных агрегатов и не позволяет достигнуть на выходе установленных проектных параметров по чистоте. Поэтому возможности основных элементов системы фильтрации КУ (газомасляного сепаратора и коалесцентных фильтров) расширяются за счет дополнительной комплектации:
- на входе газа устанавливается двухступенчатый фильтр-скруббер, оснащенный системой автоматического дренажа конденсата;
- на выходе из КУ ставят дополнительные фильтры тонкой очистки газа. Они, как и скруббер, встраиваются в существующий блок-модуль, что обеспечивает компактное размещение оборудования;
- в технологическую схему установки может включаться узел осушки газа;
- в особых случаях вместе с КУ могут также поставляться компактные адсорбционные, абсорбционные или рефрижераторные осушители газа в отдельном укрытии.
Риск образования конденсата. Работа компрессорных установок на тяжелом (жирном) газе в процессе компримирования всегда сопровождается риском конденсатообразования внутри системы. Возникает две проблемы: 1) растворение в масле большого количества углеводородов, ведущее к повышенному насыщению масла газоконденсатом, снижению кинематической вязкости масла и увеличению уровня масла в маслобаке; 2) образование конденсата в рабочих ячейках компрессора, которое приводит к увеличению потребления мощности на внешнее сжатие и мощности на сжатие одного килограмма газа. Задача решается следующим способом:
- проводится детальный анализ компонентного состава газа и расчеты в специализированном программном обеспечении, создающем теоретическую модель поведения газа при определенных условиях (температуре и давлении). Это дает возможность определить оптимальные параметры рабочих температур масла и газа, которые позволяют вести рабочие процессы в газовом контуре КУ вне зоны кондесатообразования;
- в маслосистеме КУ используется специальное более вязкое масло, имеющее повышенную устойчивость к насыщению тяжелыми углеводородами.
Негативное влияние крайне низкого давления, близкого к вакууму. Компримирование газа с давлением, близким к вакууму (от -0,05 МПа изб.), влечёт следующие проблемы: 1) возникает большая разница в давлении на входе и на выходе КУ, вследствие чего давление газа, имеющееся в установке, сбрасывается не только через сбросовую свечу, но и через входной трубопровод. При этом происходит «унос» масла из маслосистемы во входной фильтр-скруббер; 2) под действием вакуума в компрессорную установку может поступать воздух, что увеличивает взрывоопасность технологического процесса. Применяемые решения:
- оснащение системы входных клапанов КУ модернизированными быстродействующими клапанами с электромеханическими приводами и пружинными отсекателями, что позволяет отсекать входной трубопровод от основной магистрали;
- комплектация КУ системой обнаружения кислорода с датчиком, определяющим его содержание в компримируемом газе.
Изменение характеристик исходного газа. По своему составу ПНГ нестабилен. А по условиям некоторых проектов компрессорные установки вообще компримируют смешанный попутный газ, поступающий с разных объектов добывающего комплекса. Соответственно, основные его параметры (состав, плотность, давление, температура точки росы, теплотворная способность) могут меняться. Также изменяются параметры исходного газа, поступающего с одного объекта, – в силу климатических изменений, истощения запасов углеводородов, обводненности скважин и т.д. Чтобы контролировать этот процесс (и затем, при необходимости, варьировать эксплуатационные характеристики КУ), компрессорные установки могут оснащаться следующим дополнительным оборудованием:
- потоковый хроматограф с устройством отбора проб для определения состава и теплотворной способности газа (калориметр);
- потоковый измеритель температуры точки росы газа по воде и углеводородам (с устройством отбора проб);
- замерное устройство расхода компримируемого газа.
Тяжелые условия эксплуатации. Нередко компримирование низконапорного ПНГ проходит в тяжелых условиях: 1) климатические условия, когда минимальная температура воздуха достигает минус 60ºС, а средняя температура наиболее холодной пятидневки – минус 50°С; 2) особенности состава газа – например, высокое содержание сероводорода; 3) удаленность (труднодоступность) объектов, что осложняет техническое обслуживание и контроль за ходом эксплуатации оборудования. Поэтому на практике применяются следующие решения:
- выбор варианта исполнения КУ: внутрицеховое (на фото ниже), контейнерное, арктическое;
- модернизация маслосистемы и применение масел нового поколения;
- использование специальных сплавов и антикоррозийных материалов при производстве компрессорных установок;
- оснащение КУ устройством плавного пуска двигателя;
- резервирование некоторых элементов и узлов оборудования (например, сдвоенные фильтры маслосистемы или насосы систем смазки и охлаждения), особенно, когда компрессорные станции эксплуатируются без резервной установки.
РЕАЛИЗОВАННЫЕ ПРОЕКТЫ
Начиная с 2007 года, ЭНЕРГАЗ поставил и ввел в эксплуатацию 275 технологических установок подготовки и компримирования газа. В электроэнергетике они работают на 171 энергоблоке суммарной мощностью 6 290 МВт, в нефтегазовой отрасли – подготавливают попутный нефтяной и природный газ на 43 месторождениях.
Компрессорные установки «ЭНЕРГАЗ» функционируют на следующих объектах добывающего комплекса: энергоцентры собственных нужд (ЭСН) на базе ГТЭС и ГТУ-ТЭЦ; цеха подготовки и перекачки нефти (ЦППН); цеха контрольной проверки нефти (ЦКПН); дожимные насосные станции (ДНС); установки подготовки нефти (УПН); центральные пункты сбора нефти (ЦПС); концевые сепарационные установки (КСУ); центральные перекачивающие станции; транспортные системы жидких углеводородов (ТСЖУ), установки предварительного сброса воды (УПСВ); установки деэтанизации конденсата (УДК); установки комплексной подготовки газа (УКПГ).
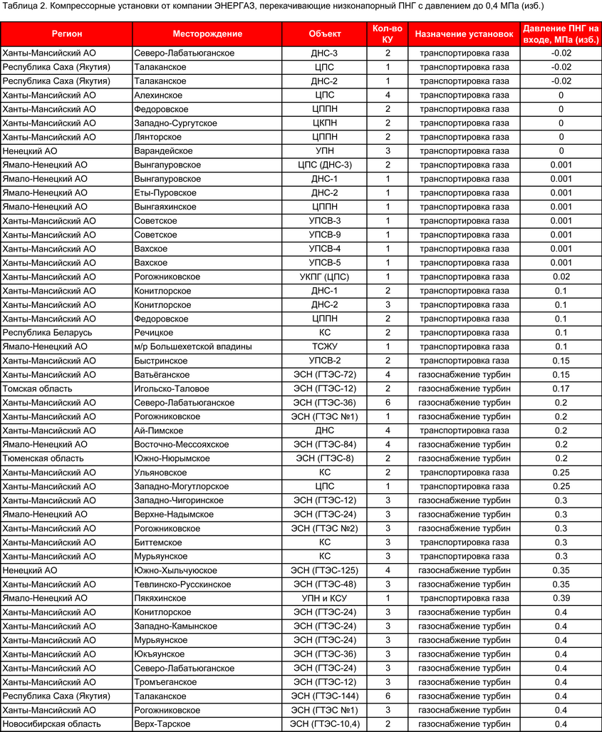
В Группе ЭНЕРГАЗ постоянно наращивается уникальный опыт реализации проектов по компримированию низконапорного ПНГ. Их география – от Республики Беларусь до Крайнего Севера и Республики Саха (Якутия).
На сегодня в таких специализированных проектах задействовано 117 компрессорных установок (таблица 2), еще 11 КУ готовятся к вводу в работу.
Производственная практика убеждает нас: для рационального применения ПНГ в максимально возможных объемах требуются не только целенаправленные усилия государства, общества и бизнеса, но и слаженная работа профессионального сообщества – нефтяников, проектировщиков, производителей оборудования.
 НН ПНГ/845_table-rus.png)